Source Code Aplikasi Data Mining dengan Algoritma C4.5 – Algoritma C4.5 merupakan algoritma yang digunakan untuk melakukan pembentukan pohon keputusan. Pohon keputusan tersebut mampu menghasilkan keputusan kompleks menjadi lebih sederhana.
Secara umum algoritma C4.5 untuk membangunย pohon keputusan adalah sebagai berikut :
- Pilih atribut sebagai akar.
- Buat cabang untuk tiap-tiap nilai.
- Bagi kasus dalam cabang.
- Ulangi proses untuk setiap cabang sampai semua kasus pada cabang memiliki kelas yang sama.
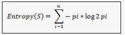
Untuk memilih atribut sebagai akar, didasarkan pada nilai gain tertinggi dari atribut-atribut yang ada. Untuk menghitung gain digunakan rumus :

Setelah mendapatkan nilai gain, terdapat satu hal lagi yang perlu dilakukan perhitungan yaitu mencari nilai entropy. Entropy digunakan untuk menentukan seberapa informative sebuah input atribut untuk menghasilkan output atribut.

Seperti itulah dasar teori mengenai algoritma c4.5 yang digunakan untuk membuat source code aplikasi data mining dengan menggunakan algoritma c4.5. Aplikasi yang dibuat kali ini adalah sebuah aplikasi yang digunakan untuk memprediksi penjualan dengan menggunakan algoritma c4.5 tentunya.
Contoh aplikasi yang sangat simpel dan sederhana ini dibuat menggunakan bahasa pemrograman PHP dan masih menggunakan ekstensi MySQL dalam interkoneksi dengan databasenya hal ini tentu membuat aplikasi ini tidak dapat berjalan di sistem dengan PHP versi terbaru. Kenapa masih menggunakan ekstensi MySQL? tentunya karena memang aplikasi ini dibuat pada tahun 2009.
Jadi untuk menjalankan source code aplikasi data mining dengan menggunakan algoritma c4.5 dalam menentukan atau memprediksi penjualan ini kalian disarankan menggunakan web server atau xampp versi 1.7.3 atau web server dengan PHP versi tidak lebih dari 5.4.12.
Untuk mendowload source code aplikasi data mining dengan menggunakan algoritma c4.5 dalam menentukan atau memprediksi penjualan ini silahkan klik tombol download dibawah ini :
Download
Download juga kumpulan source code aplikasi sistem pendukung keputusan melalui link dibawah ini
Kumpulan Sistem Pendukung Keputusan
Berikut beberapa tampilan dari aplikasi data mining dengan menggunakan algoritma c4.5 yang tentunya dibuat sangat simpel dan sederhana


Jangan lupa share postingan ini ke teman anda yang sedang membutuhkan
Semoga dapat bermanfaat ๐
Magister Komedi MagisterKomedi.com merupakan situs edukasi yang menyediakan berbagai tutorial dan source code aplikasi secara gratis dan berbayar.
min.. itu kok gk sesuai sama sekali.. dia minta ke home padahal home blm dibuat .. list menu masih .html padahal disitu file nya php semua .. mas nya ngelawak nih ๐๐ tapi sip dah harus bekerja ekstra analisis nya
Hadeuhh,, mas mbaknya mainnyaa kurang jauh nihh…
mas password cek login apa ????
Ada error seperti ini :
Fatal error: Call to undefined function session_register() in C:xampphtdocsminingcek_login.php on line 18
Gmn cara mengatasinya??
“disarankan menggunakan web server atau xampp versi 1.7.3”
mas, mau tanya udah bener masukin username & pass-Nya kok ada notif harus login sebagai manager (tolong masukannya)
Masa?
maaf, udah bs…ternyata dr versi xampp minta yg lama akhirnya pakek v1.7.1
ohy, itu prhitungan entropy & gian-Nya gmn ya mas?
passwordnya apa ya??
Ada passwordnya kah?
Coba http://www.magisterkomedi.com
Password dari hongkong yaa mas ๐
*tidak ada password kok
pass webnya, login usernya ๐
bukan downloadnya mas.thx
manager :: manager